News Archives 259

Special Report

October 7, 2025

October 5, 2025
Eight new articles published today.
Article #1

Article #2

Article #3

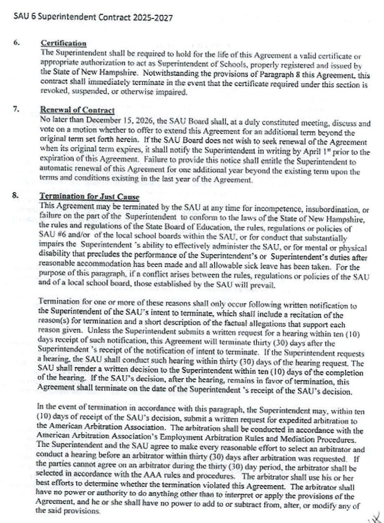
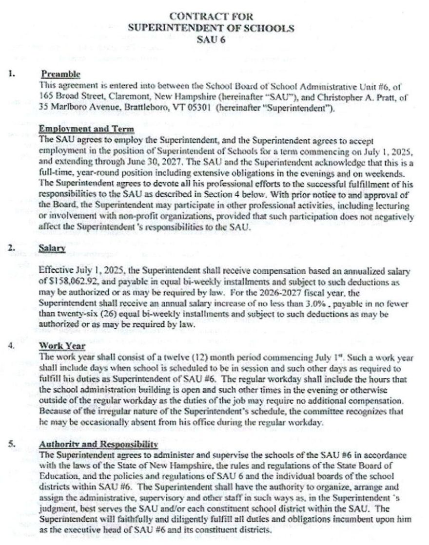
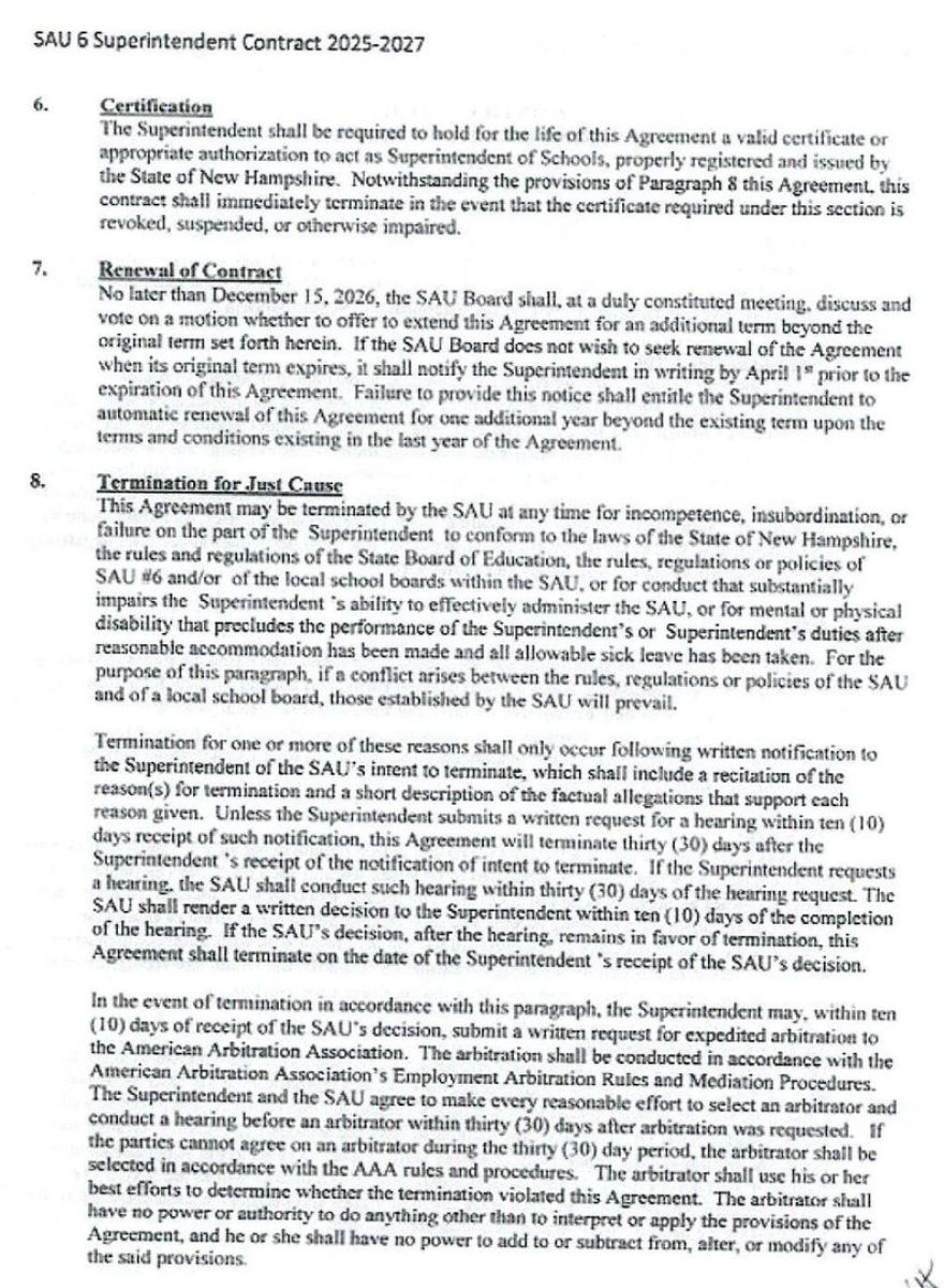
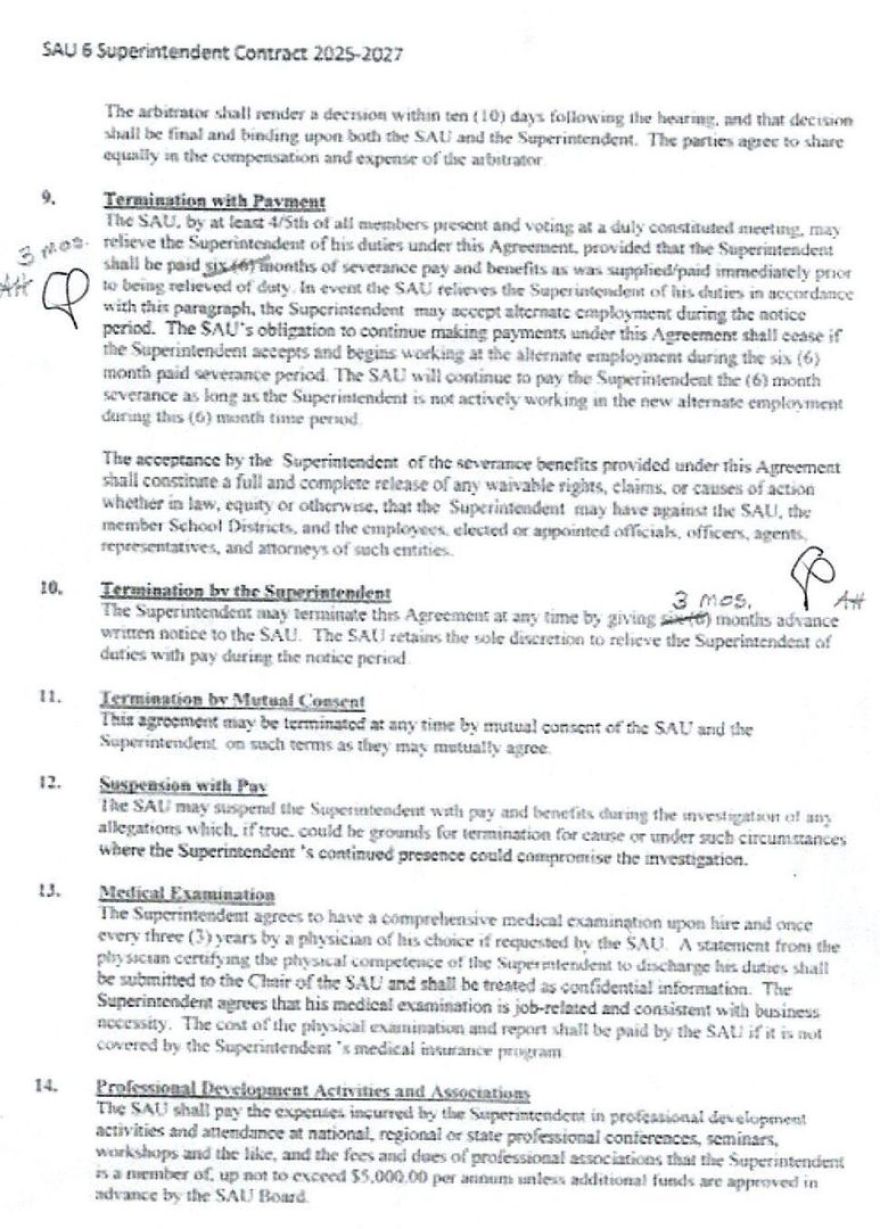
Christopher Pratt's Contract

Article #4

Mary Henry's Contract

Article #5

Article #6

Article #7

Article #8

Print | Sitemap
RESTORING BALANCE THROUGH FULL DISCLOSURE