News Archives 286

April 5, 2026
Three articles published today. 
 Article #1

 

Article #2

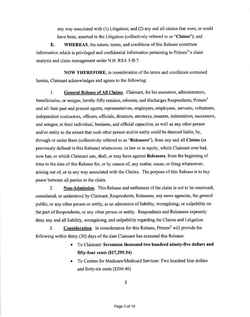
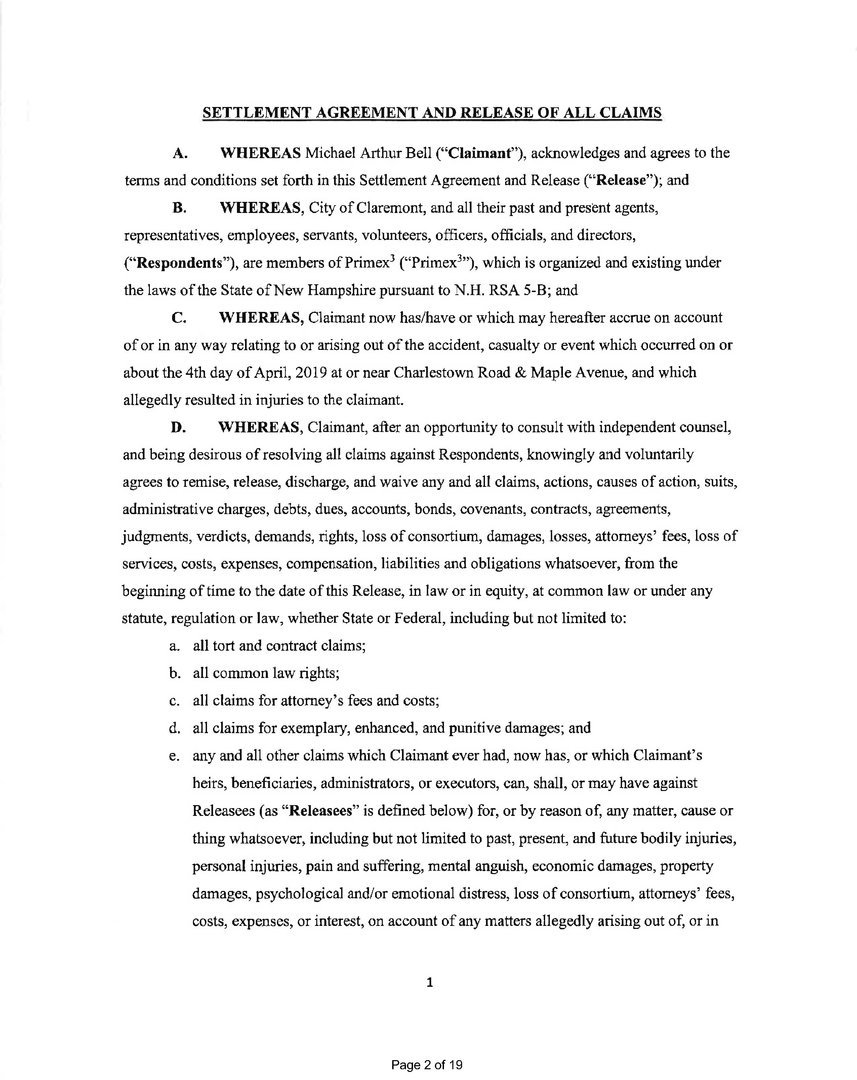
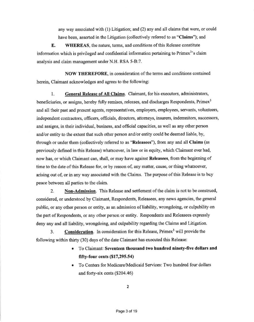
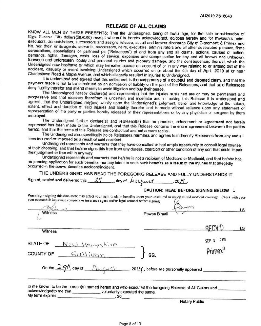
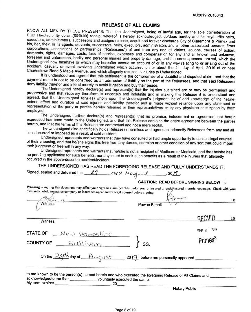
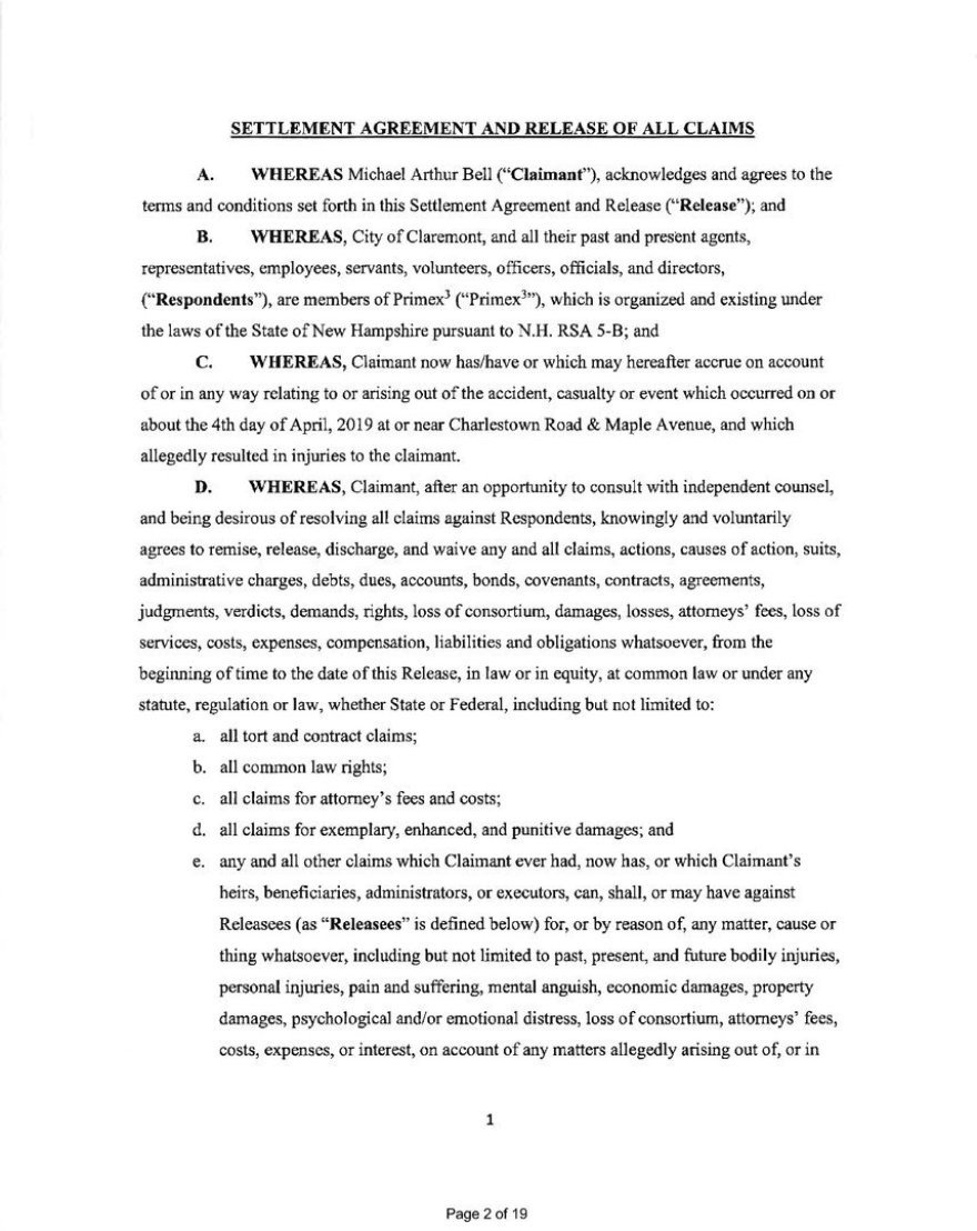
Settlement Agreements Regarding Multi-Vehicle Accident

Article #3

Print | Sitemap
RESTORING BALANCE THROUGH FULL DISCLOSURE