News Archives 273

January 19, 2026

January 18, 2026
Six new articles published today.

Editor's Note: The Claremont School District Stipends Scandal article series will continue next week.
Article #1

Article #2

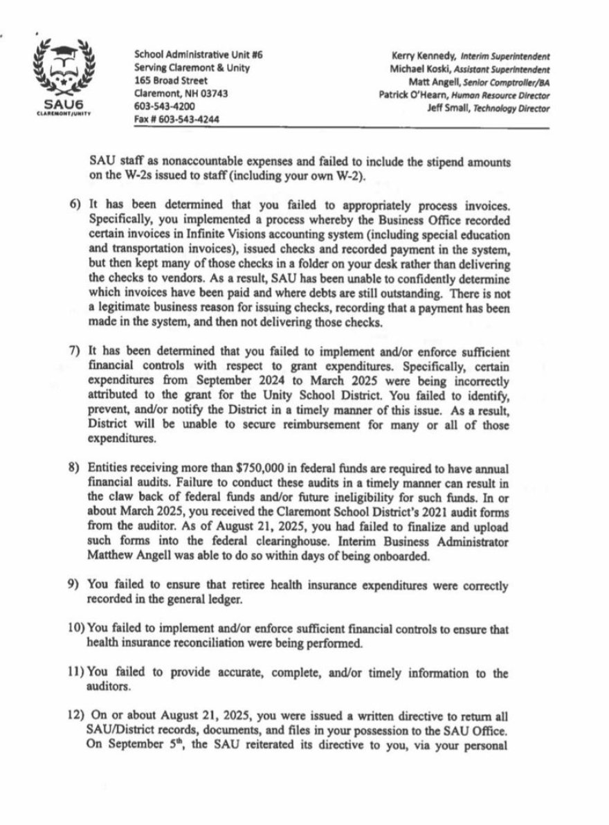
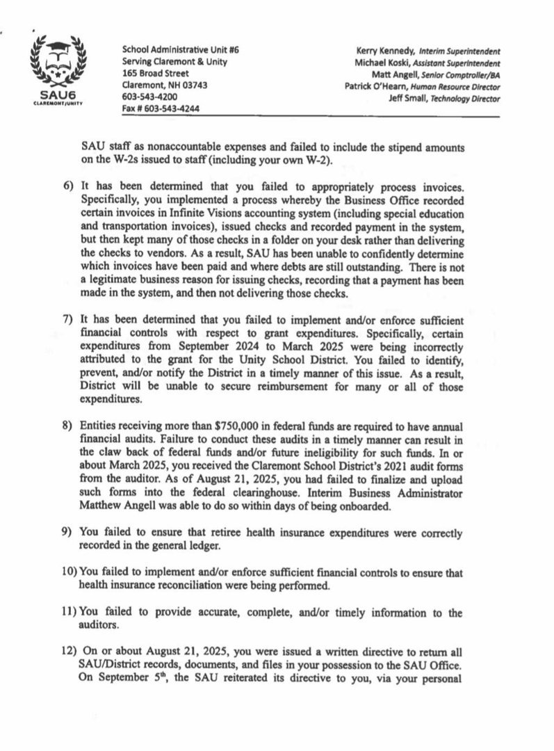
Here's how I received this email thread.  Notice the small print.

Article #3

Article #4

Article #5

Article #6

Print | Sitemap
RESTORING BALANCE THROUGH FULL DISCLOSURE