News Archives 280

March 10, 2026

March 8, 2026
Seven new articles published today.  
Article #1

 

Article #2

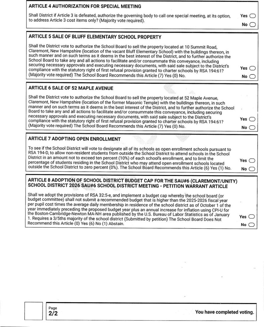
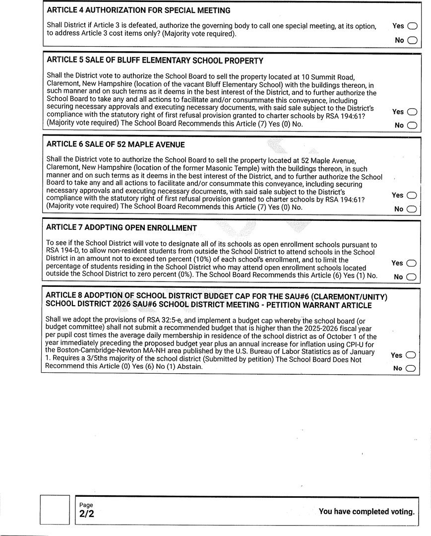
Article #3

Article #4

Article #5

Article #6

Article #7

Print | Sitemap
RESTORING BALANCE THROUGH FULL DISCLOSURE